ZeroHour's Site

Back

第 3 章 线性系统的时域分析法#

时域分析:控制系统在一定的输入信号(阶跃,脉冲)作用下,根据系统输出量的时域表达式,分析系统的稳定性、瞬态和稳态性能

3.1 典型输入信号和时域性能指标#

典型输入信号#

  • 脉冲函数

δ(t)={0,t0,t=0L[δ(t)]=1\begin{aligned} & \delta(t) = \begin{cases} 0, &t\neq0 \\[2ex] \infty, &t=0 \end{cases} \\ & L[\delta(t)] = 1 \end{aligned}

  • 阶跃函数

  • 斜坡函数

  • 抛物线函数

  • 正弦函数

典型响应#

微分方程的解#

  • 通解
  • 特解
  • 稳态响应/过程
  • 瞬态响应/过程

瞬态响应的性能指标#

通常以_阶跃响应_来衡量系统控制性的优劣和定义瞬态过程的时域性能指标。稳定的系统的单位阶跃响应函数有衰减振荡和单调变化两种。

衰减振荡#

  • 延迟时间 td
  • 上升时间 tr
  • 峰值时间 tp
  • 最大超调量 δ%
  • 调节时间 ts ( 5 或者 2 )
  • 振荡次数 N

单调变化#

没有峰值时间,最大超调量


3.2 一阶系统的瞬态响应#

一阶系统的数学模型#

积分环节+反馈环节=惯性环节

K = 1 / T

时间常数 T 反映了系统的惯性,T 越大惯性越大,系统响应速度越慢

Tdy(t)dt+y(t)=r(t), t0Φ(s)=Y(s)R(s)=1Ts+1\begin{aligned} & T\frac{dy(t)}{dt} +y(t) =r(t) ,\ t≥0 \\ & \Phi(s)= \frac{Y(s)}{R(s)}= \frac{1}{Ts+1} \end{aligned}

一阶系统的单位脉冲响应#

一阶系统的单位阶跃响应#

一阶系统的单位斜坡响应#

一阶系统的单位加速度响应#

一阶系统的瞬态性能指标#

减小一阶系统时间常数的方法#

负反馈:减小了 T,也减小了输出幅值

串联比例环节(增大 K)

小结#

  • 一阶系统的传递函数和典型结构图
  • 一阶系统的单位阶跃响应(单调上升曲线,性能指标常用调整时间)
  • 减小一阶系统时间常数的方法(为什么要减小时间常数)

3.3 典型二阶系统的瞬态响应#

典型二阶系统的数学模型#

T2d2y(t)dt2+2ζ Tdy(t)dt+y(t)=r(t), t0T^2 \frac{d^2y(t)}{dt^2} +2{\zeta\ }T \frac{dy(t)}{dt} +y(t) =r(t) ,\ t≥0

典型二阶系统的单位阶跃响应#

四种情况划分#

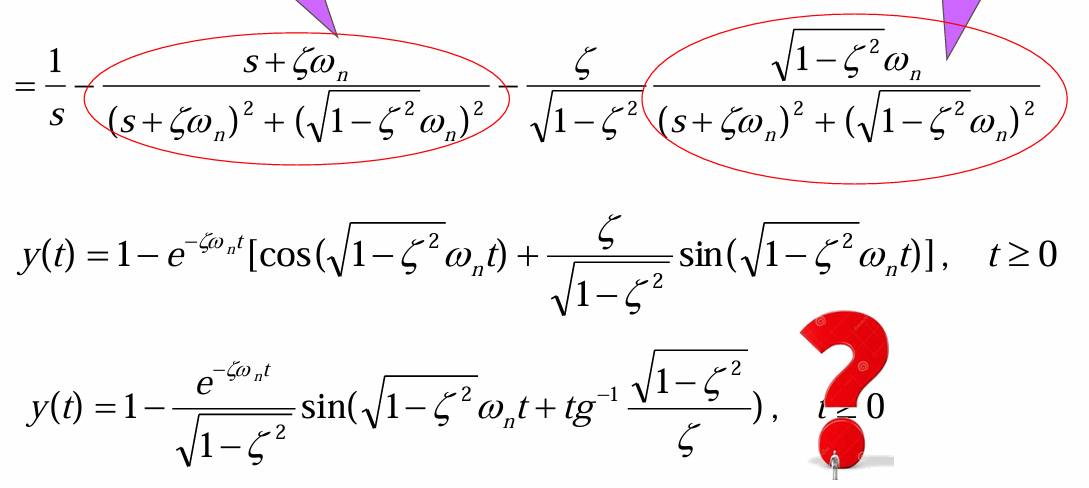
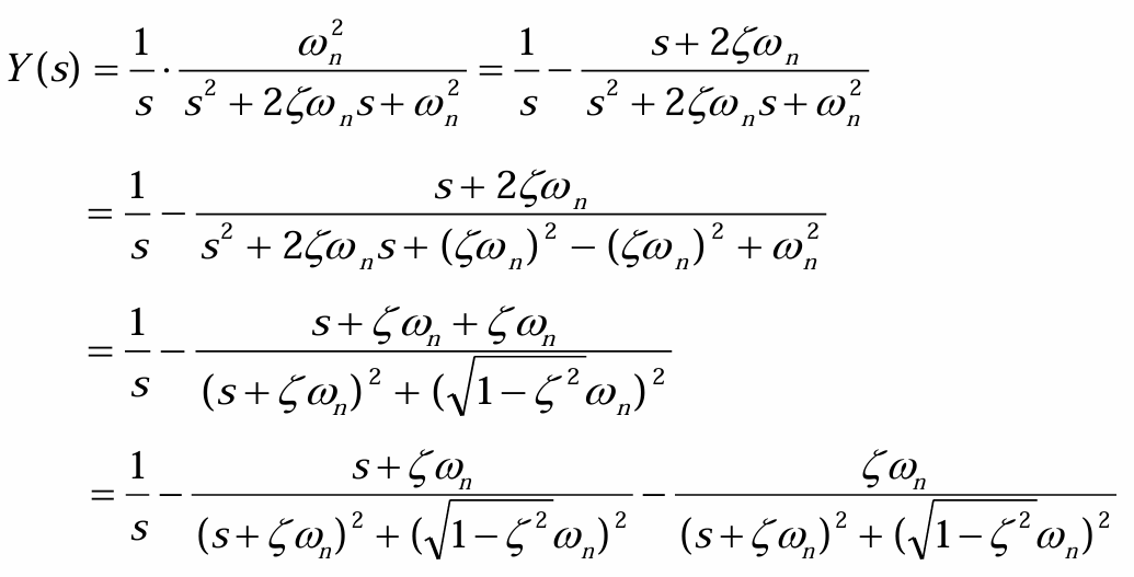
欠阻尼系统的输出响应表达式#

推导:

极点的负实部越小,衰减越快

虚部越小,振荡频率越小

过阻尼系统#

阻尼系数远大于 1 时,系统降为 1 阶

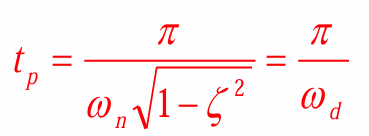
典型二阶系统的性能指标与其系统参数的关系#

改善二阶系统响应特性的措施#

速度反馈#

自然角频率和开环增益都不变

比例微分顺馈:增加了一个闭环零点#

自然角频率不变,开环增益减小

变化前(无速度反馈):系统的开环传递函数为 G(s)G(s)。此时开环增益为:K=lims0sωn2s(s+2ζωn)=ωn22ζωn=ωn2ζK_{前} = \lim_{s \to 0} s \cdot \frac{\omega_n^2}{s(s + 2\zeta\omega_n)} = \mathbf{\frac{\omega_n^2}{2\zeta\omega_n} = \frac{\omega_n}{2\zeta}} 变化后(有速度反馈):此时外环的开环传递函数变成了 Geq(s)G_{eq}(s) 。新的开环增益为: K=lims0sωn2s(s+2ζωn+τωn2)=ωn22ζωn+τωn2K_{后} = \lim_{s \to 0} s \cdot \frac{\omega_n^2}{s(s + 2\zeta\omega_n + \tau\omega_n^2)} = \mathbf{\frac{\omega_n^2}{2\zeta\omega_n + \tau\omega_n^2}}

对比#

  • 对开环增益和自然频率的影响: 比例微分控制对系统的开环增益和自然频率均无影响;速度反馈控制虽不影响自然频率,但却会降低开环增益。因此,对于确定的常值稳态误差,速度反馈控制要求有较大的开环增益。开环增益的加大,必然导致系统自然频率增大,在系统存在高频噪声时,可能引起系统共振
  • 对动态过程的影响:在相同阻尼比的条件下,比例微分控制系统的超调量会大于速度反馈控制系统的超调量(因为零点具有导数作用,比例微分是在前向通道中添加零点,既添加了开环零点又添加了闭环零点,速度反馈是在反馈通道中添加了开环零点,而没有添加闭环零点)

具有零点的二阶系统分析#

小结#

  • 二阶系统的动态性能指标基于两个条件
    • 性能指标是根据系统对单位阶跃输入的响应给出的
    • 初始条件为零
  • 典型二阶系统的瞬态响应
    • 二阶无阻尼、欠阻尼、临界阻尼和过阻尼系统的阻尼系数、特征根、极点分布和单位阶跃响应
  • 典型二阶系统的性能指标
    • 主要是超调量和调整时间
    • 与系统参数的关系
    • 速度反馈校正
  • 具有零点的二阶系统
    • 单位阶跃响应的紧凑形式
    • 性能指标
    • 微分顺馈校正

3.4 高阶系统分析#

三阶系统:二阶系统+惯性环节(多一个极点)

稳态项+实极点项+共轭复极点项

高阶系统的单位阶跃响应取决于闭环系统的零、极点分布

极点位置决定衰减快慢,零点和极点同时决定各项系数的大小

极点的影响#

  • 距虚轴近的极点对应的项衰减得慢;距虚轴远的极点对应的项衰减得快
  • 距虚轴近的极点对应的系数大,而距虚轴远的极点对应的系数小

零点的影响#

  • 零点不影响响应的形式。零点只影响各项的系数
  • 零点若靠近某个极点,则该极点对应项的系数就小

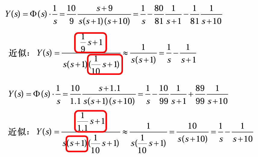
例:

偶极子#

一对零极点,距离小于极点到虚轴距离的十分之一,可以忽略

主导极点#

条件:

  • 离虚轴最近的一对共轭极点或一个实极点
  • 极点附近无零点
  • 其他极点距虚轴的距离是离虚轴最近的极点距虚轴的距离的5倍以上

系统性能主要由主导极点决定,系统传递函数表现为只有主导极点(二阶或一阶),其他被忽略

3.5 稳定性和代数稳定判据#

稳定性#

渐进稳定性

有界输入有界输出稳定性 BIBO

稳定充要条件:闭环极点位于左半平面,或劳斯阵第一列为正

稳定必要条件:闭环特征方程不缺项,且每一项系数同号

劳斯稳定判据#

  • 用一个正数去乘或除某整行,不会改变系统的稳定性结论
  • 劳斯阵第一列所有系数均不为零,但也不全为正数,则系统不稳定,在s右半平面上有极点
  • 极点个数等于劳斯阵列第一列系数符号改变的次数
  • 劳思阵某一行第一列系数为零,而其余系数不全为零,用小正数 ξ 代替
  • 劳斯阵某行系数全为零的情况:处理方法如图

赫尔维茨判据#

稳定充要条件:

  1. an >0,且余子式>0
  2. ai >0,且奇数或偶数余子式>0

相对稳定性(稳定裕度)#

一张图概括:

结构不稳定(缺项)系统及其改进措施#

一是改变积分性质,二是引入开环零点,都是为了补上缺项

  • 反馈消除积分环节
  • 速度反馈
  • 比例微分引入开环零点

3.6 稳态误差分析#

Steady-State Errors

  • 只有稳定的系统计算稳态误差才有意义
  • 使用拉氏变换终值定理计算

典型输入下的稳态误差:#

  • 稳态误差与输入 R(s)、开环增益 K、系统型次 v (无差度阶数/积分环节数)有关

扰动输入作用下的稳态误差:#

  • 稳态误差与扰动输入 N(s)、开环增益 K、系统型次 v (无差度阶数/积分环节数),G1(s) 有关

消除误差的方法#

第 3 章 线性系统的时域分析法
https://zerohour.github.io/blog/automatic_control_theory/%E7%AC%AC-3-%E7%AB%A0-%E7%BA%BF%E6%80%A7%E7%B3%BB%E7%BB%9F%E7%9A%84%E6%97%B6%E5%9F%9F%E5%88%86%E6%9E%90%E6%B3%95
Author ZeroHour
Published at 2026年3月20日
Comment seems to stuck. Try to refresh?✨