ZeroHour's Site

Back

第 4 章 线性系统的根轨迹分析法#

4.1 根轨迹的基本概念#

根轨迹定义#

开环系统传递函数的某一个参数变化时,闭环系统特征方程的在复平面上变化的轨迹

根轨迹方程#

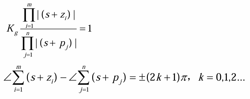
开环传递函数等于 -1

幅值条件,相角条件:(kg>0 的情况)180° 等相角根轨迹

4.2 根轨迹的绘制方法#

概念#

  1. 对称于实轴
  2. 分支数等于 max (开环零点数 m,开环极点数 n)
  3. 起点:极点;终点:零点和无穷远
  4. 渐进线:n-m 条,在实轴上交于一点
  5. 实轴上的根轨迹:若实轴上某点右边的开环零点和开环极点数之和为奇数,则该点是根轨迹上的点
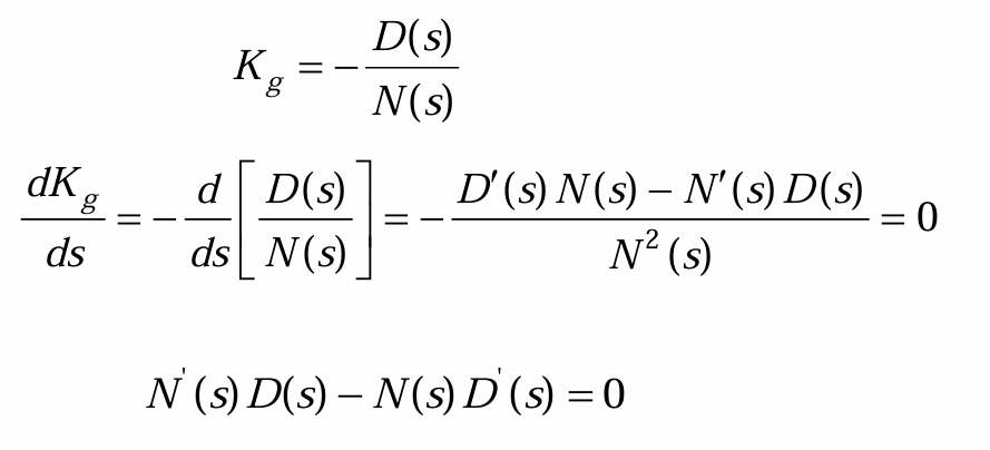
  6. 分离会合点:是闭环特征方程的重根;

2. 3. 4. 分离角:(2k+1)π/分支数 7. 出射角和入射角:只有复极点,复零点需要求,在实轴上的点不用求 8. 与虚轴的交点: 1. s=jw 2. 劳斯阵某一行全为 0 9. 闭环极点(特征根)之和与之积:n-m 大于等于 2 时,闭环极点之和等于开环之和

带角的(出入射角,渐近线角)180° 等相角根轨迹比 0° 等相角根轨迹多一个 π

实轴区间那个改成偶数

步骤#

  1. 标注开环极点和零点,纵横坐标用相同的比例尺
  2. 实轴上的根轨迹
  3. n-m 条渐近线
  4. 根轨迹的出射角、入射角
  5. 根轨迹与虚轴的交点
  6. 根轨迹的分离点、会合点
  7. 结合根轨迹的连续性、对称性、根轨迹的支数、起始点和终点,闭环极点与闭环极点之和及之积等性质画出根轨迹

参量根轨迹#

需要绘制除Kg以外的其它参数变化时闭环系统特征方程根的轨迹,就是参量根轨迹

变形获得等效根轨迹方程方法:把特征方程写为(不含参数的多项式)+(参数和另一个多项式的乘积)

例:

特殊情况#

  • 零极点对消:图像上要保留
  • 正反馈:画 0° 根轨迹
  • 非最小相位系统根轨迹:有时会出现正反馈的效果,也画 0° 根轨迹

在右半S平面上既无极点也无零点,同时无纯滞后环节的系统是最小相位系统,相应的传递函数称为最小相位传递函数

在右半S平面上具有极点或零点,或有纯滞后环节的系统是非最小相位系统,相应的传递函数称为非最小相位传递函数

4.3 根轨迹分析法#

增加开环零、极点对根轨迹的影响#

在原开环传递函数零极点的左边增加极点:原根轨迹向右移动,降低系统的相对稳定性,增加系统的调整时间

在原开环传递函数零极点的左边增加零点:原根轨迹向左移动,增强系统的相对稳定性,减小系统的调整时间

条件稳定系统:参数在一定范围内取值才能稳定的系统(根轨迹会跑到 s 右半平面)#

P11:使系统达到一定性能指标的参数范围(todo#

课本 p245 例 4.4.1

第 4 章 线性系统的根轨迹分析法
https://zerohour.github.io/blog/automatic_control_theory/%E7%AC%AC-4-%E7%AB%A0-%E7%BA%BF%E6%80%A7%E7%B3%BB%E7%BB%9F%E7%9A%84%E6%A0%B9%E8%BD%A8%E8%BF%B9%E5%88%86%E6%9E%90%E6%B3%95
Author ZeroHour
Published at 2026年3月20日
Comment seems to stuck. Try to refresh?✨